Previous | Next | Top

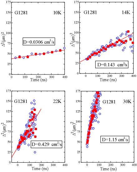
Diffusive Transport